Improvement Efficiency of AgO Cathode and Zinc Anode for AgO/Zn Alkaline Primary Cell

Document Type : Research Paper

Authors

1 Institute of Nanoscience and Nanotechnology, University of Kashan, Iran

2 Iran Polymer and Petrochemical Institute, Tehran, Iran

3 Department of Analytical Chemistry, Faculty of Chemistry, University of Kashan, 87317-51167 Kashan, Iran

110.22052/JNS.2021.03.017

Abstract

In this work, we presented an improvement in specific capacity of AgO cathode and zinc anode for AgO/Zn primary alkaline cell. The coprecipitation process was used to introduce different amount of Pb additive to the AgO structure (n%Pb-AgO). The four point probe method revealed that the electrical resistivity of AgO decreased with addition of Pb Additive. The galvanostatic discharge of the prepared cathode electrodes at current density of 250 mA cm-2 showed increased specific capacity by 15% which is clearly resulted from the decreased the electrical resistivity. Also, the electrodeposition method was employed to prepare dendritic zinc metal powder under different applied current densities. The prepared dendritic zinc powder at current density of 250 mA cm-2 showed a great potential to serve as anode material for AgO/Zn cell. The galvanostatic discharge of AgO/Zn cells at current density of 300 mA cm-2 indicated that the discharge capacity of cell increased to 174 mAh g-1 when Pb additive was introduced to the AgO cathode material. In contrast, AgO/Zn cell comprising the AgO cathode without any Pb additive showed the discharge capacity of 155 mAh g-1.

Keywords


INTRODUCTION
In the last few decades, with development of electronic devices, the need for high power energy sources has increased [1]. The AgO/Zn batteries are attractive electrochemical systems because of their high capacity and high power density [2]. The AgO/Zn batteries have power density up to 600 W kg-1 which is the highest among the commercial batteries [3-5]. 
However, there are some limitations in development of the AgO/Zn cell. For instance, the specific capacity of the AgO cathode material is highly dependent on the electrical resistivity [6]. Many studies have been proposed for enhancing the electrical conductivity of the AgO cathode material. In this regard, Tvarusko showed the electrical resistivity of the AgO could be decreased with addition of metal additive with higher valency than +1 and +2 such as Pb, Sn and Hg [6, 7]. Due to the lower electrical resistivity of PbO2 with respect to HgO and tin oxides, the Pb additive is more efficient for improving the discharge capacity of the AgO cathode [8].        
In addition, zinc metal with high specific surface area is required to obtain more stable and higher capacity zinc anode [9]. It was found that the stability of zinc anode in the presence of alkaline electrolyte is properly dependent on specific surface area of the zinc metal used for preparing anode. Many synthetic routes have been employed to prepare the pure zinc metal with appropriate morphology and high surface area. In this regard, zinc metal nanofiber was prepared by Zhang and co-workers as a potential anode material for MnO2/Zn and AgO/Zn batteries [9]. Moreover, zinc metal with nanospherical morphology has been frequently studied to prepare the enhanced capacity zinc anode for alkaline batteries [5]. Yang and co-workers prepared electrolytic dendritic zinc powder as anode material for MnO2/Zn battery [10]. This research group revealed that the prepared cell with dendritic zinc powder has higher performance than that of cell with conventional molten zinc powder.                                  
In this study, we prepared AgO cathode active material incorporated with Pb additive. Different amount of Pb additive was introduced into the AgO lattice structure by co-precipitation method. The electrochemical properties of Pb-AgO cathodes were studied by galvanostatic discharge at current density of 250 mA cm-2 in the presence of KOH (6.3 M, 65 °C) as alkaline electrolyte. The dendritic zinc powder was prepared using the electrodeposition method from zincate solution under different current densities of 100, 200, 250 and 300 mA cm-2. The effect of current density was studied to find optimum condition for preparing high capacity zinc anode. In addition, the effect of Pb additive was studied on the performance of AgO/Zn cell constructed using AgO cathode with Pb additive.
The prepared materials were carefully characterized using XRD, SEM and EDX analysis. The electrical resistivity of the prepared cathode materials were investigated using the four point probe method. 

MATERIALS AND METHODS
Preparation of n%Pb-AgO 
n%Pb-AgO cathode materials were prepared using persulfate oxidation method described by Tvarusko [7, 11]. In this process, first, 7.2 gr of sodium hydroxide was dissolved in 100 mL distilled water in temperature of 85 °C. 7.5 gr of potassium persulfate was added to 40 mL of distilled water and then the slurry was added to the hot alkaline solution. 5.1 gr of silver nitrate was dissolved in 40 mL distilled water. The certain amount of lead nitrate (0%, 0.1% and 1.0% by weight of Pb ion per weight of Ag ion) was dissolved into silver nitrate solution as Pb additive. The silver nitrate solution containing Pb additive was slowly added to the hot alkaline solution of persulfate. The mixture was vigorously stirred for 15 min at 90 °C. Finally, the obtained dark solid was filtered and washed several times with dilute solution of sodium hydroxide to eliminate all nitrate and sulfate impurities. The product was dried at room temperature. Same procedure was fallowed to prepare pure AgO without any addition of Pb additive.  

Preparation of dendritic zinc metal powder
In this study, zinc anode material with dendritic morphology was prepared using the electrodeposition method [12, 13]. The electrodeposition of zinc powder was carried out using 11 M KOH solution containing 0.5 M of zincate solution at constant temperature (25 °C). Two nickel plate with a surface area of 1 cm-2 were used as working and counter electrode. Different current densities of 100, 200, 250 and 300 mA cm-2 were applied to deposit zinc metal. The deposited zinc metal was removed from working electrode and washed with distilled water to reach neutral pH and finally was dried at 50 °C for 1 h.     
 
Characterization 
The crystallinity and phase structure of the prepared samples including AgO, n%Pb-AgO and zinc metal powder were studied using the X-ray diffraction (XRD) patterns by X’pert Pro MPD (Cu Kα  λ = 1.54Å). The morphology of the prepared samples were studied using the scanning electron microscopy (SEM) by TESCAN Mira3 equipped with the energy dispersive X-ray (EDX) analyzer to study the composition and elemental distribution of 0.1%Pb-AgO sample. 

Electrochemical measurements
The cathode electrode was constructed by 0.08 gr n%Pb-AgO cathode active material (n = 0%, 0.1% and 1.0%) along with 0.02 gr graphite as conductive material. The cathode materials were well mixed using agate mortar for 15 min in the presence of a certain amount of polyvinylidene fluoride PVDF binder (5%wt). Then, an appropriate amount of dimethylacetamide (DMAC) solvent was added to dissolve PVDF binder. A sticky paste was formed by the dissolving PVDF binder which then casted onto the silver plated expanded copper metal with area of 1 cm2. The cathode electrode was heated at 40 °C for 15 min to remove organic solvent and then pressed under pressure of 1 ton. 
The anode electrode of AgO-Zn cell was made using the electrodeposited zinc powder without addition of any additive. The as-prepare zinc powder (0.1 gr) was thoroughly mixed with PVDF binder in the presence of DMAC solvent. The mixture was casted onto the silver plated expanded copper metal with area of 1 cm2 and dried at 40 °C for 30 min. Finally, the electrode was pressed under pressure of 1 ton. 
The galvanostatic discharge of the prepared cathodes including AgO, 0.1%Pb-AgO and 1.0%Pb-AgO were studied using the three electrode cell with the prepared cathode electrode as working electrode, platinum plate counter electrode and Zn/ZnO as reference electrode. All electrochemical experiments were carried out using Autolab (N PGSTAT 35) in the presence of 6.3 M KOH as electrolyte solution at constant temperature (65 °C). Also, the electrochemical properties of the constructed AgO/Zn cells were studied in two electrode cell in the presence of high density polyethylene separator for eliminate the effects of evolving oxygen gas from the AgO cathode electrode. The electrochemical impedance spectroscopy (EIS) of the prepared AgO/Zn cells were carried out using Autolab (N PGSTAT 35) at voltage of 5mV amplitude with frequency range of 0.1 Hz to 100 kHz.         
  
RESULTS AND DISCUSSION
Study of structure and morphology
The XRD patterns for AgO, 0.1%Pb-AgO and 1.0%Pb-AgO samples were provided in Fig. 1. The diffraction peaks for the AgO sample are well in agreement with the monoclinic structure of the AgO (JCPDS file no. 022-472). The Pb additive in the amount of 0.1% has not observable effect on the crystallinity and structure of AgO. However, the structure of AgO underwent several phase changes when the more amount of Pb additive (1.0%) was used. As clearly observed, the two characteristic peaks at 2ϴ of 18.67° and 20.62° are appeared in the 1.0%Pb-AgO sample which are assigned to the Ag2Pb2O2 phase with JCPDS file number of 046-0008. In addition, the XRD pattern for the 1.0%Pb-AgO sample revealed that the content of Ag2O (JCPDS file no. 041-1104) in the sample increases with increasing the amount of Pb additive.     The SEM images for AgO, 0.1%Pb-AgO and 1.0%Pb-AgO samples were shown in Fig. 2. As can be seen, the as-prepared AgO sample is composed of irregular cuboid particles with actual size of 0.59-2.12 µm (Fig. 2a). However, the prepared AgO samples in the presence of Pb additive show significant changes in the morphology of the particles which are mainly different from the morphology for pure AgO (Fig. 2b and 2c). 
To study the composition and the elemental distribution of the prepared sample, the 0.1%Pb-AgO was analyzed using the EDX spectroscopy. The elemental mapping images for the 0.1%Pb-AgO were provided in Fig. 3, which reveals the Pb additive evenly distributed into the AgO structure (Fig. 3b). Fig. 3c shows the EDX spectrum for the prepared 0.1%Pb-AgO. Moreover, the EDX spectrum discloses the sample is composed of Ag (87.08%), Pb (0.093%) and O (12.82%).
The XRD pattern and SEM image for the prepared dendritic zinc powder at current density of 250 mA cm-2 (as optimal sample) were represented in Fig. 4a and 4b, respectively. The XRD pattern (Fig. 4a) shows the electrodeposited zinc powder has the hexagonal structure without any phase impurity. The diffraction plans indexed to (002), (100), (101), (102), (103), (110) and (004) are clearly matched with the hexagonal phase for zinc metal (JCPDS file no. 087-0713). In addition, SEM image (Fig. 4b) reveals that the electrodeposited zinc powder has the dendritic morphology with length of 36.89 µm.   

Electrochemical Experiments
To study the electrochemical properties of the prepared n%Pb-AgO cathodes and to find how Pb additive affect discharge efficiency of the AgO cathode active material, the galvanostatic discharge of n%Pb-AgO cathodes were carried out at the constant current density of 250 mA cm-2.     
Fig. 5a shows galvanostatic discharge curves for 1.0%Pb-AgO, 0.1%Pb-AgO and pure AgO cathodes. As can be seen, the cathode including 0.1% pb additive exhibits longer discharge time (470 sec) than pure AgO cathode (420 sec) at the cut of voltage of 0.6 V. The exceeded amount of Pb additive (1.0%) has no increasing effect on discharge time of AgO cathode. 
Moreover, the galvanostatic discharge of the prepared cathodes with respect to the discharge capacity were studied. Fig. 5b reveals at the cut of voltage of 0.6 V, the 0.1%Pb-AgO cathode has a higher discharge capacity of 420.50 mAh g-1 while the pure AgO cathode without any additive exhibits discharge capacity of 364.84 mAh g-1. The AgO cathode containing 1.0% Pb additive provides only discharge capacity of 109.97 mAh g-1. One explanation to these results is based on the fact that increasing the amount of Pb additive lead to noticeable decrease in AgO content of the cathode and consequently a decrease in discharge capacity of cathode.
The polarization curves for AgO and 0.1%Pb-AgO cathodes was shown in Fig. 6. As respected, the AgO cathode containing 0.1% Pb additive represents lower polarization under current density of 500 mA cm-2. So that, the AgO cathode as a sole cathode active material has higher potential drop (0.13 V) compared to the 0.1%Pb-AgO cathode. In addition, Fig. 6 shows the power density for the AgO cathode is increased after introducing Pb additive into the structure of the AgO. The power density for the 0.1%Pb-AgO cathode shows increasing by 13% compared to the pure AgO cathode. 
The excellent efficiency of 0.1%Pb-AgO cathode is clearly attributed to the decreased the electrical resistivity of the 0.1%Pb-AgO cathode material compared to the pure AgO. The four point probe method was used to investigate the electrical resistivity of the n%Pb-AgO (n = 0%, 0.1% and 1.0%). The results revealed that the addition of Pb additive could be significantly decreased the electrical resistivity of the AgO. The AgO has the resistivity of 88.32 Ω cm, while 0.1%Pb-AgO and 1.0%Pb-AgO have the resistivity of 73.54 Ω cm and 68.31 Ω cm, respectively. 

Zinc Anode
The electrochemical properties of the prepared electrolytic zinc powder samples were investigated using the galvanostatic discharge of the prepared zinc anode at current density of 250 mA cm-2. As above mentioned, different current density were applied to electrodeposit the zinc powder from zincate solution. Fig. 7 shows the comparison between the different electrolytic zinc samples prepared under different applied current densities. Clearly, the sample prepared at current density of 250 mA cm-2 has longer discharge time than other samples prepared at current densities of 100, 200 and 300 mA cm-2.       

AgO/Zn cells 
The AgO/Zn cells were constructed using different cathode materials (0.1%Pb-AgO and AgO). The zinc anode was prepared using the electrodeposited zinc powder at current density of 250 mA cm-2 as optimum anode material with enhanced specific capacity.  
Fig. 8 shows the galvanostatic discharge of the prepared n%Pb-AgO/Zn cells (n = 0% and 0.1%) at current density of 300 mA cm-2. Clearly, at cut of voltage of 0.6 V, the cell including 0.1%Pb-AgO cathode has higher discharge capacity (174.8 mAh g-1) with respect to the cell containing the pure AgO (155.83 mAh g-1) as the sole cathode active material. As above mentioned, the enhanced performance of the cell is properly attributed to the significant decrease in the electrical resistivity of AgO cathode material after the introduction of Pb additive into the AgO structure. 
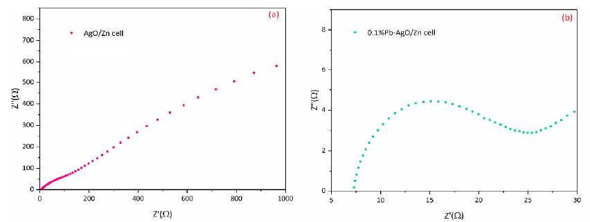
Fig. 9a and b show the EIS analysis for the prepared AgO/Zn cells including different cathode materials (0.1%Pb-AgO and AgO). The impedance spectra disclose that the cell comprising AgO cathode with 0.1% Pb additive has lower charge transfer resistance (14.55 Ω) compared to the cell with pure AgO cathode (57.08 Ω). Clearly, the Pb additive has significant ability to decrease charge transfer resistance of AgO cathode which lead to the facilitated charge transfer reactions in the AgO/Zn cell.  

CONCLUSIONS
To sum up, the introduction of Pb additive into the structure of AgO cathode active material is caused to the significant increase in specific capacity of the AgO cathode. In addition, the electrical resistivity of the AgO cathode active material is noticeably decreased by addition of Pb additive. To prepare highly efficient zinc anode material, we used the electrodeposition method to deposit dendritic zinc metal powder from zincate solution. Different current densities were applied to prepare zinc anode material. It was found that the zinc anode material prepared under current density of 250 mA cm-2 has higher capacity than other samples. Moreover, The AgO/Zn cell with cathode including Pb additive revealed higher discharge capacity compared to the cell constructed the pure AgO without any addition of Pb additive. Also, the EIS analysis confirmed that the cell comprising 0.1%Pb-AgO cathode material has lower charge transfer resistance than that of the cell including the pure AgO cathode material.    
         
ACKNOWLEDGMENTS
The authors would like to acknowledge the financial support of this work by the University of Kashan, Iran. We have no conflicts of interest to disclose.

CONFLICT OF INTEREST
The authors declare that there is no conflict of interests regarding the publication of this manuscript.

 

1. Smith DF, Gucinski JA. Synthetic silver oxide and mercury-free zinc electrodes for silver–zinc reserve batteries. Journal of power sources. 1999;80(1-2):66-71.
2. Pan J, Sun Y, Wang Z, Wan P, Liu X, Fan M. Nano silver oxide (AgO) as a super high charge/discharge rate cathode material for rechargeable alkaline batteries. Journal of Materials Chemistry. 2007;17(45):4820-4825.
3. Suresh P, Nagaraju D, Shukla A, Munichandraiah N. Analysis of ac impedance of AgO-Zn cells: Effects of state-of-charge, temperature and cycle-life. Electrochimica Acta. 2005;50(16-17):3262-3272.
4. Braam KT, Volkman SK, Subramanian V. Characterization and optimization of a printed, primary silver–zinc battery. Journal of Power Sources. 2012;199:367-372.
5. Ozgit D, Hiralal P, Amaratunga GA. Improving performance and cyclability of zinc–silver oxide batteries by using graphene as a two dimensional conductive additive. ACS applied materials & interfaces. 2014;6(23):20752-20757.
6. Tvarusko A. The electric resistivity of AgO. Journal of the Electrochemical Society. 1968;115(11):1105.
7. Tvarusko A. Active material electrode and cell comprising improved battery grade divalent silver oxide, US Patent 3,650,832. Google Patents; 1972.
8. Mindt W. Electrical properties of electrodeposited PbO2 films. Journal of The Electrochemical Society. 1969;116(8):1076.
9. Zhang XG. Fibrous zinc anodes for high power batteries. Journal of power sources. 2006;163(1):591-597.
10. Yang C-C, Lin S-J. Improvement of high-rate capability of alkaline Zn–MnO2 battery. Journal of power sources. 2002;112(1):174-183.
11. Smith DF, Brown C. Aging in chemically prepared divalent silver oxide electrodes for silver/zinc reserve batteries. Journal of power sources. 2001;96(1):121-127.
12. Mojtahedi M, Goodarzi M, Sharifi B, Khaki JV. Effect of electrolysis condition of zinc powder production on zinc–silver oxide battery operation. Energy Convers Manage. 2011;52(4):1876-1880.
13. Sharifi B, Mojtahedi M, Goodarzi M, Khaki JV. Effect of alkaline electrolysis conditions on current efficiency and morphology of zinc powder. Hydrometallurgy. 2009;99(1-2):72-76.
14. D.F. Smith, C. Brown, Aging in chemically prepared divalent silver oxide electrodes for silver/zinc reserve batteries, Journal of power sources, 96 (2001) 121-127.
15. M. Mojtahedi, M. Goodarzi, B. Sharifi, J.V. Khaki, Effect of electrolysis condition of zinc powder production on zinc–silver oxide battery operation, Energy Conversion and Management, 52 (2011) 1876-1880.
16. B. Sharifi, M. Mojtahedi, M. Goodarzi, J.V. Khaki, Effect of alkaline electrolysis conditions on current efficiency and morphology of zinc powder, Hydrometallurgy, 99 (2009) 72-76.