Structural and Optical Properties of P-type Cr-Doped TiO2 Nanorods Film

Document Type : Research Paper

Authors

1 Department of Applied Sciences, University of Technology, Iraq

2 Physics Department, Almustansiriyah University, Baghdad, Iraq

Abstract

P-type Titanium dioxide nanorods (NRs) film has successfully prepared by growing Cr-doped TiO2 nanorods on the surface of the Fluorine doped tin oxide coated glass slide (FTO) using the hydrothermal technique. From X-ray diffraction (XRD) analysis, pure and Cr doped TiO2 were Polycrystalline with two phases, Rutile and Anatase. Optical energy gap was found about (3.0 - 3.3 eV) which is estimated from Uv-Vis and fluorescence measurements. According to hall effect measurement undpoed TiO2 NRs shows negative conductivity while doped films shows positive conductivity.

Keywords


INTRODUCTION
Nowadays, the use of clean energies is necessary to contribute the current demand of energy. In this way various semiconductors have been reported, TiO2 being one of the most popular, due to its good chemical stability and non-toxicity[1,2] Inexpensive, high visible range transmittance, high UV spectral range absorbance and high-efficiency photo-catalytic activity[3]. It has a high level of interest in the world due to frequent applications in many fields. TiO2 thin films exist in three phases, anatase (Eg = 3.32eV), brookite (Eg=3.26eV) and rutile (Eg=3.05 eV), and the properties of the sample depend on the existence of these phases due to the difference between them. Numerous studies are attentive to the dependence of the different TiO2 phases on the preparation technique[4]. They have different structures, but their chemistry is the same, there are many  techniques used to obtain nanostructure materials such as chemical bath deposition (CBD), hydrothermal, solvent-thermal, chemical vapor deposition (CVD) and DC reactive magnetron sputtering, hydrothermal synthesis is considered to be the most appropriate method for the production of TiO2 nanorods arrays due to its modest experimental conditions, low cost and uniformed TiO2 NRs film [5]. Hydrothermal synthesis method is a type of soft chemistry to synthesize materials, this method developed by simulating the nucleation and growth processes of some  rocks that contains minerals in nature. [6]. An effective way of changing the electronic characteristic of TiO2 is doping, which can be done by either replacing the O2 anion or the Ti4+ cation [7]. There are many researchers try to make impurities with metal dopants such as Au [8], Fe [9] and Ag [10] in this work we have been added chromium to the TiO2 NRs film.
The aim of this work is the studying the structural, optical and electrical properties of p-type Cr-doped TiO2 NRs films and compare it with undoped TiO2 NRs. 

MATERIALS AND METHODS
Titanium dioxide preparation 
The first stage in the practical part is cleaning the FTO glass samples, we use ethanol alcohol purity 99.9% to clean with ultrasound for 15 minutes, after that we use a Deionized water to clean the sample in the second stage for 15 minutes in the same device and then let it dry well before use. Titanium dioxide nanorods array were synthesized using the hydrothermal process in a chemical solution using a Teflon-lined (100 ml) autoclave. 50 mL of concentrated hydrochloric acid (35-38 wt. %)(Central Drug House (P) Ltd Group) New Delhi, has been dissolved in 50 mL of Deionized water (DI). After vigorously stirring, 1.7 mL of titanium butoxide (TBOT) (Germany) added to the solution for 5 min. the FTO glass placed face down in a Teflon. After that, the solution was poured into the autoclave with a Teflon-made liner for the start of the hydrothermal process. Hydrothermal reaction occurs at 180 °C with a response time of 3 hours. After that, the autoclave was removed from the oven and allowed to cool to room temperature. Then the prepared film is then rinsed well with DI water.

Synthesis of Cr -doped TiO2
 After completing the previous step and preparing titanium dioxide in this step, we add chromium III nitrate (Central Drug House (P) Ltd Group) New Delhi after adding titanium butoxide and we mix the solution for 90 minutes, the added proportion (1%) after that, put it in the autoclave, then in the electric oven for two and a half hours and after the time is complete, the autoclave is cooled under water and we take out the samples and clean them with Deionized water. 

RESULTS AND DISCUSSION
X-Ray Diffraction
Fig. 1 shows the X-ray diffraction patterns of undoped TiO2 NRs arrays and 1% Cr-doped Tio2 NRs prepared by hydrothermal method on FTO glass. As shown in Fig. 1, there are two phases of TiO2 Rutile and Anatase, peaks at 27.3o, 36 o, 54.3 o and 65.4 o corresponding to the planes (110), (101), (211) and (221) respectively for rutile phase and peak at 37.8o corresponding to (004) plane for Anatase phase. All peaks and orintation belonging to it are obtained according to the ICDD card (021-1276) for Rutile phase and (021-1272) for Anatase phase,  in addition to the presence of peaks belonging to FTO according to ICDD card no. (046-1088). As shown in the Fig. 1 the intensity decease after doping TiO2 with Cr atoms indicating a loss of crystallinity due to lattice distortion [11].  
The dimension of crystallite size was estimated using Scherrer equation [12]:


                                                              

Where, D is crystallite size, K is shape factor (0.9), β is the Full width half maxima (FWHM) (in radians) , λ is the X-ray wavelength (0.15418 nm) and θ is Brag angle of diffraction. The crystallite size which was calculated by equation (1) decrease from 30.1nm for undoped TiO2 to 25.4 nm after doping with Cr atoms , this decrease gives the impression that the doping is hindering the crystal growth of TiO2 NRs [13].

Field-Emission Scanning Electron Microscopy
Fig. 2 Show the Field-Emission Scanning Electron Microscope (FESEM)  top view image of undpoed TiO2 NRs and Cr-doped TiO2 NRs films, The top view shows the uniformly distributed nanorods array across the entire surface of the FTO substrates. The average dimensions of TiO2 NRs increase from 62 nm to 79 nm after introducing Cr as dopant, TiO2 thickness film is 853 nm  and  285 nm for undoped and Cr-doped TiO2 nanorods film respectively, caused by thermodynamic changes in surface free energy of the TiO2 NRs in which surface energy reduction decreased the driving force of anisotropic growth, This means that the increased nanorods diameter was caused by the increased number of nanowires instead of increased diameter of single nanowires [14].

Optical Properties
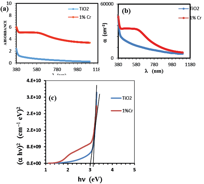
Fig. 3a and b illustrate the UV-Visible absorbance spectrum and absorption coefficient of the undpoed and Cr-doped TiO2 NRs array which was grown on FTO substrate by hydrothermal technique, in the range (380–1100) nm.  As is evident, there is an increase in the absorbance and thus an increase in the absorption coefficient after doping with chromium atoms, can be attributed  to the presence the additional energy levels such as Cr 2p level and oxygen vacancies within the band gap of TiO2 due to the Cr-doping, which leads to  the decrease in the optical energy gap, and as is evident from the Fig. 3 c, where the energy gap value decreased from 3.16 to 3.0 eV, the optical energy gap was calculated using the relation [12]:
              
                        

photoluminescence (PL)
Fig. 4 illustrates the effect of excitation energy on photoluminescence emission spectra of undoped and Cr-doped TiO2 NRs.The measurements are carried out by excitation wavelength 270 nm (4.59 eV), the peak emission at 369 nm corresponding to 3.3 eV energy gap which very close to value obtained from Uv-Vis measurement, the PL intensity decrease after doping with Cr atoms caused by increase the dimensions of NRs which, in turn, increases surface oxygen vacancy [15].

Electrical Properties
DC conductivity
Fig. 5 shows the ln σ is a function of (1000/T) for undoped and Cr-doped TiO2 NRs films. The values of thermal energy of electrical conduction, Ea, calculated from the curves in Fig. 5 ranged between 0.07 and 0.3 eV (Table 1) these values were estimated by the formula [16]:

                                            
 
where k is Boltzmann’s constant. The activation energy increased after doping due to the increase in NRs dimensions, and it is also well known that the transport mechanism of charge carriers is strongly influenced by crystallite size [17]. After Cr atoms doping, holes became the major charge carrier instead of electrons due to the high doping percent, therefore the conductivity increased in p-type as shown in Table 1.

Hall Effect
For the purpose to examine the electrical characteristics (carrier concentration and mobility) of the undoped and Cr-doped TiO2 NRs films, hall effect measurement was employment. The electrical properties of the undoped and Cr-doped TiO2 NRs array have been tabulated in Table 2. Fig. 6a and b illustrates the relationship between hall voltage (VH) and passing current for (a) undoped and (b) Cr-doped TiO2 NRs films, where it showed that the hall voltage is negative in undoped TiO2 NRs film, the reason that undoped samples have negative conductivity is due to the oxygen vacancies [18]. The Cr (1 wt. %)-doped one showed p-type character because the Cr3+ ions incorporated in the lattice points of Ti4+ ions act as electron acceptors [13].

CONCLUSIONS
In this paper, titanium dioxide NRs film and  p-type Cr-doped TiO2 NRs films were successfully grown on FTO substrate by hydrothermal technique using TBOT as a precursor. we have carried out the influence of doping 1 wt. % Cr on structural, morphology, optical and electrical characteristics of the TiO2 NRs films were investigated.
CONFLICT OF INTEREST
The authors declare that there are no conflicts of interest regarding the publication of this manuscript.

 

1.    Alfaro Cruz MR, Sanchez-Martinez D, Torres-Martínez LM. TiO2 nanorods grown by hydrothermal method and their photocatalytic activity for hydrogen production. Materials Letters. 2019;237:310-313.
2.    Nakata K, Fujishima A. TiO2 photocatalysis: Design and applications. Journal of Photochemistry and Photobiology C: Photochemistry Reviews. 2012;13(3):169-189.
3.    Kment S, Kmentova H, Kluson P, Krysa J, Hubicka Z, Cirkva V, et al. Notes on the photo-induced characteristics of transition metal-doped and undoped titanium dioxide thin films. Journal of Colloid and Interface Science. 2010;348(1):198-205.
4.    Mokhtar SM, Ahmad MK, Harish S, Hamed NKA, Shimomura M. Surface chemistry and growth mechanism of highly oriented, single crystalline Nb-doped TiO2 nanorods. CrystEngComm. 2020;22(13):2380-2388.
5.    Bin Ahmad MK, Murakami K. Application of Titanium Dioxide Nanorods in DSC Using Hydrothermal Method. Advanced Materials Research. 2011;222:24-27.
6.    Yang G, Park S-J. Conventional and Microwave Hydrothermal Synthesis and Application of Functional Materials: A Review. Materials. 2019;12(7):1177.
7.    Roose B, Pathak S, Steiner U. Doping of TiO2for sensitized solar cells. Chemical Society Reviews. 2015;44(22):8326-8349.
8.    Li XZ, Li FB. Study of Au/Au3+-TiO2 Photocatalysts toward Visible Photooxidation for Water and Wastewater Treatment. Environmental Science & Technology. 2001;35(11):2381-2387.
9.    Yu J, Xiang Q, Zhou M. Preparation, characterization and visible-light-driven photocatalytic activity of Fe-doped titania nanorods and first-principles study for electronic structures. Applied Catalysis B: Environmental. 2009;90(3-4):595-602.
10.    Lee MS, Hong S-S, Mohseni M. Synthesis of photocatalytic nanosized TiO2–Ag particles with sol–gel method using reduction agent. Journal of Molecular Catalysis A: Chemical. 2005;242(1-2):135-140.
11.    Pal M, Pal U, Jiménez JMGY, Pérez-Rodríguez F. Effects of crystallization and dopant concentration on the emission behavior of TiO2:Eu nanophosphors. Nanoscale Research Letters. 2012;7(1).
12.    Ahmed DS, Dawood MO, Salman ON. Study and Antibacterial Activity of CdS Thin Films Prepared by Thermal Evaporation Technique (TET). Materials Science Forum. 2021;1021:129-137.
13.    Ruiz A, Cornet A, Sakai G, Shimanoe K, Morante JR, Yamazoe N. Preparation of Cr-Doped TiO2 Thin Film of P-type Conduction for Gas Sensor Application. Chemistry Letters. 2002;31(9):892-893.
14.    Liqiang J, Yichun Q, Baiqi W, Shudan L, Baojiang J, Libin Y, et al. Review of photoluminescence performance of nano-sized semiconductor materials and its relationships with photocatalytic activity. Solar Energy Materials and Solar Cells. 2006;90(12):1773-1787.
15.    Al-Jawad SMH, Salman ON, Yousif NA. Influence of titanium tetrachloride concentration and multiple growth cycles of TiO2 nanorod on photoanode performance in dye sensitized solar cell. Photonics and Nanostructures - Fundamentals and Applications. 2018;31:81-88.
16.    Mardare D, Baban C, Gavrila R, Modreanu M, Rusu GI. On the structure, morphology and electrical conductivities of titanium oxide thin films. Surface Science. 2002;507-510:468-472.
17.    Morgan BJ, Watson GW. Intrinsic n-type Defect Formation in TiO2: A Comparison of Rutile and Anatase from GGA+ U Calculations. The Journal of Physical Chemistry C. 2010;114(5):2321-2328. no.9, pp. 892-893, 2002.