The effect of rare earth lanthanum on structure, microstructure and magnetic properties of magnesium zinc based ferrite nanoparticles

Document Type : Research Paper

Author

Department of Physics, Faculty of science, Malayer University, Malayer, Iran

10.22052/JNS.2020.03.002

Abstract

In this study, a series of Mg0.3Cu0.2Zn0.5Fe2-xLaxO4 ferrite nanoparticles with x= 0 to 0.15, with step 0.015 were synthesized by sol-gel auto combustion method. The effect of rare earth La which was substituted for Fe3+, on the structural, microstructure and magnetic properties of prepared samples were investigated. The structural characteristics of samples were studied by X-ray diffraction (XRD) and scanning electron microscopy (SEM). The XRD patterns showed the formation of cubic spinel structure for all samples without any extra peak. The microstructural evaluations showed homogeneous particles and also revealed that their size are about 36 – 51 nm. The magnetic properties of samples were investigated using vibration sample magnetometer (VSM) and Impedance analyzer. Results show that On La substitution, the values of saturation magnetization (MS) were slightly decreased. The real part of permeability as well as Curie temperature were dramatically decreased with increasing x.

Keywords


INTRODUCTION

In recent years, NiZn-based spinel ferrites have been widely used for production of chip inductor components that are used in visual and audio equipment such as telecommunication devices, liquid crystal TV and computer [1]. MgZn-based spinel ferrites are important magnetic materials that can be replaced instead of NiZn-based ferrites due to thier lowering of magnetostriction constant, environmental considerations and low cost [2].  

The properties of spinel ferrite materials are generally governed by the chemical composition and methods followed for preparation. Addition of rare earth (RE) ions to ferrite materials produces a change in their magnetic, electrical as well as structural properties. Many researches have been done to investigate the substitution of rare earth ions such as Sm3+, Gd3+, Nd3+, Dy3+, Y3+ and Eu3+ ions in ferrites. The results show that the addition of small amount of different rare earth ions behave differently depending upon the amount and the type of RE elements used [3-8]. Generally, the enters into the octahedral sites by displacing a proportionate number of Fe3+ from octahedral to tetrahedral sites. They have limited solubility in the spinel lattice due to their large ionic radii. Rare earth ions according to their ionic radius can be divided into two categories; close to radius of Fe3+ ions and larger than radius of Fe3+ ions. The difference in the ionic radii values causes to micro strains. Thus, RE ions can partially occupy the octahedral sites as well as form orthoferrite phase (REFeO3) which cause changes in the structural and magnetic behavior of the ferrites and affect domain wall motion resulting in deformation of the spinel structure. They also can influence permeability and resistivity in MFe2-zREzO4 ferrites.

The magnetic properties of ferrites are very sensitive to the processing parameters especially preparation method. Sol-gel combustion rote is a promising method for nanostructured of nanostructured ferrite with high surface energy. The nanoscale powders have potential to tailor shrinkage versus temperature behavior [9]. In the present work, Mg0.3Cu0.2Zn0.52LaxFe1.98xO3.99 (0.00≤x≤0.06) nanopowders were synthesized via a sol-gel autho combustion method and the structure, microstructure and magnetic properties of prepared nanopowders were studied. After that, the prepared powders were pressed and sintered at 950 °C and the effect of La dopant on their permeability and Curie temperature were measured.

MATERIALS AND METHOD

Mg(NO₃)₂.H₂O, Cu(NO₃)₂.3H₂O, Zn(NO₃)₃.4H₂O, Fe(NO₃)₃.9H₂O, La(NO₃)₃.6H₂O, citric acid and ammonium hydroxide were purchased from Merck and used without further purification. The phase formation of samples was identified using X-ray diffraction (XRD; Cu-Kα radiation, λ=1.5418Å). The microstructure was investigated by use a field emission scanning electron microscope (FE-SEM). The magnetic properties were carried out in room temperature using a vibrating sample magnetometer (VSM) device and RF-Impedance analyzer (HP-4991A) in a frequency range of 1 MHz to 80 MHz.

Synthesis of nanopowders

Ferrite nanopowders were prepared through nitrate–citrate auto combustion method. Briefly, metal nitrates in stoichiometric ratio were dissolved in deionized water. Then, citric acid solution was added to the mixture and after adjusting the pH value with ammonia to 7, the resultant solution was heated at 80 ºC under constant stirring to transform into a xerogel. During heating the dried gel burnt out in a self-propagating combustion manner to form a fluffy powder. The as-burnt precursor powder was calcined at 600 ºC in air for 2 hours. For measuring permeability the prepared powders granulated using 2wt % PVA and uniaxially pressed at a to form toroid. Finally, the pressed samples were sintered at 900 ºC for 4 hours.

RESULTS AND DISCUSSION

To investigate the formation of spinel structure of powders the phase analysis was performed using x-ray diffraction technique. Fig. 1 shows the XRD patterns of the prepared nanopowders. As can be seen, all powders present the main peaks corresponding to a single phase cubic spinel structure with good crystallization that can be indexed using the standard JCPDS card No. 08-0234. The absence of any peak in XRD patterns proves that there is no lanthanum iron oxide, (LaFeO3­­) phase in all La-substituted ferrites. This indicate that La3+ ions may enter the octahedral site and replace the Fe3+ ions. Table 1 shows the lattice parameters and crystallite size of the ferrite powders. The average crystallite size (D) of the synthesized compounds is calculated to be 26-37 nm using Scherrer’s equation, D=Kλ/βCosθ, where β is FWHM (width of the observed diffraction peak at its half maximum intensity), λ is the X-ray wavelength (CuKα radiation, equals to 0.154 nm) and K is the shape factor.

 

 

The FE-SEM micrographs of the as-prepared nanopowders are shown in Fig. 2-5. The average particle size of prepared powders is calculated by line intercept technique and presented in Table 1. Results reveal the formation of prepared compounds in the form of nanoparticles with the particles size between 35-50 nm. It seems from SEM image that the size of particles increases with La content.

Fig. 6 displays a typical FE-SEM micrographs of the nanopowder calcined at 600 C with x=0.00 and 0.015. It is clear that the individual nanoparticles are closely packed to form nano sheets at different sizes. The surface morphology of the different compositions appear to be different from each other.

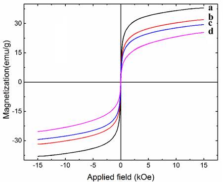
Fig. 7 shows the magnetic hysteresis curves of the prepared powders measured at room temperature. The low value of coercivity for all the samples shows that the particular sample reveal the soft magnetic action. The saturation magnetization (Ms) values are listed in Table 1. It is seen that Ms continuously decreases with La concentration. This variation could be explained on the basis of tow sub-lattice collinear model suggested by Neel. According to Neel’s model the magnetic moment (nB) of ferrite can be calculated using the difference of magnetic moment of B sublattice and A sublattice using the relation [10]:

where MA and MB are the A and B sublattice magnetic moment in μB. Also, the relationship between saturation magnetization (MS) and magnetic moment (nB) is:

Ms is the saturation magnetization, MW is the molar weight of compound and nB is the number of magnetic moment in μB.

It is known that in the spinel ferrites Zn2+ (0 μB) ions occupy A-sites while Mg+ (0 μB) and Cu2+ (+1 μB) have considerable B-sites preference [10]. Also, La3+ (0 μB) ion completely occupy B-site and Fe3+ (+5 μB) ion can occupy both A and B sites. Thus, cation distribution for Mg0.3Cu0.2Zn0.52LaxFe2-xO4 is assumed to be:

Where the brackets () and [] denote to A- and B-sites, respectively.

Table 1 shows the calculated values for the number of magnetic moments (nB­). According to the above relations, as La3+ has negligible magnetic moment, which does not take part in the exchange interaction to the nearest neighbour ions, the magnetization of B-sites decreases with La content and so the total saturation magnetization decreases.

To investigate the applicability of the prepared powders, they were pressed in toroidal shape and sintered at 950 °C. The magnetic permeability (μi) and Curie temperature of sintered samples were measured by using impedance analyzer. Results are listed in Table 1. Fig. 8 displays magnetic permeability of samples as a function of frequency. It is seen the samples with La have lower values of permeability (μi) than that of undoped sample (at 1 MHz) and permeability decreases with increasing La content. According to Table 1, results show that μi follows the same behavior as that of Ms where a maximum is noticed at x=0.00. On substitution of La3+ ion Curie temperature is found to be decreased because, La3+ ion that occupy octahedral site can make La–Fe interaction and this interaction is weaker than Fe–Fe interaction in octahedral site. The dilution of interaction in octahedral sites is responsible for the decreases of Curie temperature.

 

CONCLUSION

A series of Mg0.3Cu0.2Zn0.5Fe2-xLaxO4 ferrites nanopowders with x=0.00, 0.015, 0.030 and 0.045 have been prepared through the combustion method. The effect of La ion (x) on the structural, microstructural and magnetic propeties of samples was investigated, and the following results have been obtained. The X-ray diffraction patterns exhibited the formation of cubic spinel structure. The morphology of powders characturized by SEM is found to contain homogeneous nanoparticles 35−50 nm. Results show that La3+ ion has significantly effect on the magnetic properties of prepared samples. The saturation magnetization of nanopowders was found to be slightly decreased with x. Furthermore, permeability and Curie temperature was found to be decreased with x.

 

CONFLICT OF INTEREST

     The authors declare that there is no conflict of interests regarding the publication of this manuscript.